2. 部分分式
任一既约真分式(分子与分母没有公因子,分子次数低于分母次数)都可唯一地分解成形如
或
的基本真分式之和,其运算称为部分分式展开.若为假分式(分子次数不低于分母次数),应先化为整式与真分式之和,然后再对真分式进行部分分式展开.部分分式的各个系数可以通过待定系数法来确定.下面分几种不同情况介绍.
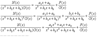
设 ![]()
![]()
[线性因子重复]
1o ![]()
式中N(x)的最高次数r≤m-1;A0,A1,L ,Am-1为待定常数,可由下式确定:

2o ![]()
式中A0,A1,L ,Am为待定常数,可由下式确定:

≤s-1
其系数fj与m有关,由下表确定:
|
m |
fj (j=0, 1, 2, L , k; k≤s-1) |
|
1 |
|
|
2 |
|
|
3 |
|
|
M |
L L L L L L L L |
|
m |
|
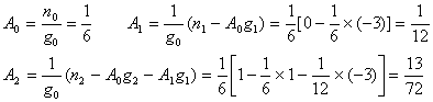
例![]()
解 依上述公式算出

此时m=3,

所以得到
![]()
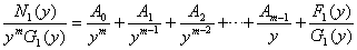
3o ![]()
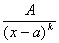
作变换y=x-a,则N(x)=N1(y), G(x)=G1(y), 上式变为
![]()
用上述1o,2o的方法确定出A0, A1, L , Am-1和F1(y),再将y=x-a代回.也可按下式来确定系数A0, A1, L , Am-1:

[线性因子不重复]
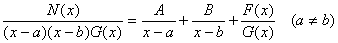
1o ![]()
式中N(x)的最高次数r≤2,a¹ b¹ c;A, B, C为待定常数,可由下式确定:

2o ![]()
式中多项式F(x)的最高次数k≤s-1;A, B为待定常数,用下式确定:
![]()
A, B确定后,再用等式两边多项式同次项系数必须相等的法则来确定F(x)的各项系数.
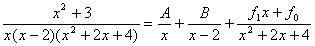
例 ![]()
解 依上述公式算得


把A,B代入原式,通分并整理后得
![]()
比较等式两边同次项系数得
![]()
所以有
![]()
[高次因子]

[计算系数的一般方法]
![]()
1o 等式两边乘以D(x)化为整式,各项按x的同次幂合并,然后列出未知系数的方程组,解出而得.
2o 等式两边乘以D(x)化为整式,再把x用简单的数值(如x=0, 1, -1等)代入,然后列出未知系数的方程组,解出而得.