一、沉降平皿法《预防医学》

一、沉降平皿法

将盛有培养基的平皿持平暴露在空气中一定时间,然后置温箱培养,计算所生长的菌落数。

1.牛肉浸膏50g;蛋白陈10g;氯分钠5g;琼脂20g;加水至1000ml。调节培养基pH7.2~7.4,经15磅30分钟高压灭菌。

2.空气采样

(1)选择有代表性的采样点,一般在室内四角及室中央,放置含营养琼脂的平皿。

(2)打开皿盖(将皿盖置于平皿底下,不可仰放,以防污染),将有培养基的平皿,暴露于空气10~20分钟(视空气清洁程度而定),采样毕合上皿盖,记录采样时间。

(3)培养皿置于37℃温箱培养24小时。

(4)记录5个平皿的菌落总数。

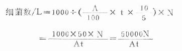
3.结果计算:100cm2琼脂面积上,5分钟所降落的菌落数,相当于10L空气所含细菌数,计算结果如下:

t——平皿暴露于空气中的时间(分钟)

N——培养后,平皿上的菌落总数

A——所用平皿的面积(cm2

上一页:空气细菌测定
当前页:一、沉降平皿法
下一页:二、离心式空气微生物采样法

返回目录