二、两个样本率差异的意义检验《预防医学》

二、两个样本率差异的意义检验

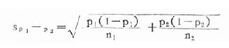
公式(20.8)

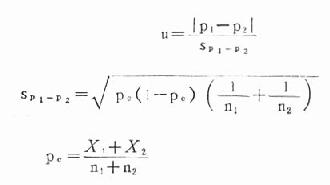
公式(20.9)

公式(20.10)

以上公式中:P1,P2为两个样本率

pc为合并样本率

X1和X2分别为两样本阳性例数

如果两个样本都相当大,则sp1-p2改用下式计算

公式(20.11)

现仍以上述计算率的标准误的例题,进一步检验两个样本率差异有无意义。

基本资料:n1=3315,p1=1.78%=0.0178,1-p1=0.9822

n2=3215,p2=5.60%=0.056,1-p2=0.944

检验步骤:

1.建立检验假设:

H0:π12

H11≠π2

α=0.05

2.计算u值:因两个都是大样本,故采用公式(20.11)以求sp1-p2

3.确定P值和分析:本题u=8.234>2.58,P<0.01,差异有高度统计学意义,按α=0.05水准拒绝H0,可以认为水中碘浓度高的居民甲状腺患病率高于水中碘浓度低的居民。

上一页:一、样本率与总体率的比较
当前页:二、两个样本率差异的意义检验
下一页:第六节 x[SB]2[/SB]检验

返回目录