§2 解析几何中的基本计算

[两点间的距离]

 

平面上

空间中

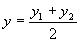
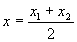
[分线段为定比的分点坐标]

(a)

(b)

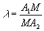
M(x, y, z)A1A2的分点,分割比例

平面上

 

 

 

空间中

λ>0称为内分,称为外分.λ=1时,MA1A2的中点:

[平面上三角形的面积]

A1, A2, A3构成逆时针回路

S=

S=0时,A1, A2, A3三点共线

[平面上多角形的面积]

A1, A2,…,An构成逆时针回路

 

S=

S =0时,A1, A2,…,An n个点共线

[空间中四面体的体积]

这里构成右手系

V==

V =0时,M, A1, A2, A3四个点共面

[二面角的角度]

M0, M1, A1, A2为空间中不共面的四点,q 为二面角A1-M0M1-A2 (0£q£180°)

 

 

 

 

M0为原点,x轴的正向,y轴的正向时,则

M0为原点时,x轴的正向时,则

 

[质点系的重心坐标]

空间中各质点的质量为 mi,坐标为(xi,yi,zi)i=1,2, , n

重心G的坐标

式中∑表示对i1n求和